Thread
profile picture
Wahyu
Student XII SMK
3. Hasil lim lim Sport Y**1 adalah .... A. 10 B. -10 C. D. 00 E. -
4 tahun yang lalu
total answer
2
total comment
0
share
Terjawab

Jawaban (2)
0
profile picture
aqim
Student XII IPA
Ī Tim X=0 X + 1 x²-x I-roti 02-0 U-1 o bentuk tak tentu o O I-VX+! lim X+0 1+rxt1 x-zX 1+ X A+ b lim X-0 (1-vxtil (I+Vx+1) x (X-1) (1 + (x+T) lim 0-X | - (x+0) x(x-1)(1+Vx+1 |-X-1 lim Xo ( 1 + x 1 + 1) (1-x) x lim (-1) (x) X (X-1) (1 +Vx+1) Of X -1 - J (0-1) (1 + Voti 1 C C ( . VO -1 (-1) (2) > @side
4 tahun yang lalu
total comment
0
Balas
Terverifikasi

0
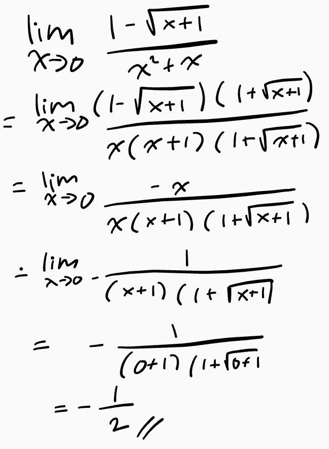
profile picture
Naluna
Student XII IPA
lim 1-Vx+1 x²+x lin (T- Vx+)( (+ (x+) x(*+1)(Irrat) - lim 770 = x->0 X. 10 I +x\+1) (1+x) T lim . 入20 (x+1) (1+x+1 = ( Torin (0+11/1ttori 희 2 //
4 tahun yang lalu