Thread
profile picture
Simo Hayha
Student XII IPA
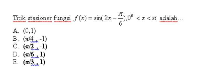
ग Titik stasioner fungsi f(x) = sin( 2x - 3),00 <x< adalah... A. (0,1) B. (1/ 4-1) C. (1/2.-1) D. (1/6,1) E. (A/3.1)
4 tahun yang lalu
total answer
1
total comment
0
share
Terjawab

Jawaban (1)
0
profile picture
Putra Gema Nusa
Rockstar Teacher GURU SMA
O | --| 5 o f(x) = sin (2x-T).0<x<TT (= TT 'XLT Ditanya: trik stasioner &y=sin (2x - 30%) # f(x) = sin (2x - 30% ) :> X = 60° > X = 150° f'(x) = 2003 (2x-30") y= = sin 90° y=sin 270" 2 as (2x-30°) os (2x - 30%) as (2x - 30) = cos 90° ) 2X - 30° = goº tk. 360° X = . 60° tk. 180° -> k=0, x= 60' =X # 24-30° = -90° tk. 360° 2X X = -30° +. 180° >K=1, X=160° Dahamify :: E. (5.0 = U X
4 tahun yang lalu
total comment
0
Balas
Terverifikasi