Thread
profile picture
Default
Student XI IPA
1 7 Himpunan penyelesaian sin (2x + 50°) = untuk 0º < x < 180° adalah .... 2 a. نه نه ن ف نہ C. {40°, 140°} {40°, 155 {40°, 100°) {55°, 140°} {55°, 95º} e. menuhicos ( 3300) - cima + 30
4 tahun yang lalu
total answer
2
total comment
0
share
Terjawab

Jawaban (2)
0
profile picture
Putra Gema Nusa
Rockstar Teacher GURU SMA
, o <x< 180° = sın (2x+109 ) 1 sin (2x + 50°) 2 = sin 30° 3 is 2x, +50° = 30° + k. 360° 2x, = -20° + k. 360° Xi -10° + k. 180° > K= 1 + x, = 170 •> 2X2 + 50° = 150° 150° tk. 360° 2X2 = 100° + k.360° X2 = 50° + k.180 -> K = 0 + X2 = toº - U & HP. {50 , 170 } U o Dahamify
4 tahun yang lalu
total comment
0
Balas
Terverifikasi

0
profile picture
Naluna
Student XII IPA
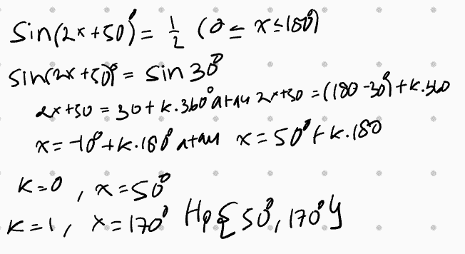
Sin (2x+50%= Į (o=xsison sin(2x+50% = sin 30 2x+50 = 30tk.3.boºt44 20750 =(180-309+2.560 x=18+6.188 atau x=50 tk. 180 k=0, x=50 K=1, x=170 Hp {58, 1704
4 tahun yang lalu