Thread
profile picture
Wildan Charindra Wibawa
Student XII IPA
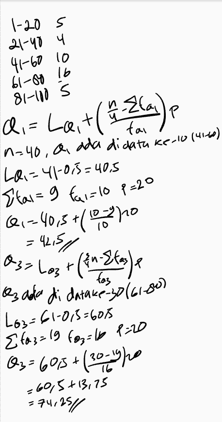
10. Perhatikan histogram skor ulangan Matematika siswa kelas XII C berikut. 4 Frekuensi 18 16 14 12 10 0 4 2 0 1-20 21-40 41-60 61-80 81-100 Skor Ilustrator: Slamet Riyadi Kuartil bawah dan kuartil atas data di atas adalah a. 41,5 dan 73,75 b. 41,75 dan 74 c. 42,5 dan 74,25 d. 43,25 dan 74,5 43,5 dan 75,25
4 tahun yang lalu
total answer
1
total comment
0
share

Jawaban (1)
0
profile picture
Naluna
Student XII IPA
و 0-) و 98-| 41-60 10 61-80 |b د 130-)8 ( IP tai n=40, & ada didata ke-10 (4160) )لم ها = 0 (اے ۸ 8- کہ0 - 05-11 - سا 20= } 0 = 1 9 = حماك ?h ) در 90 -4 (2) * وما = دا - 63, t faz az ada di datake-30(61-80) 605 = 1-05) -دا {faz=19 fos=lp P=20 30 ع40) + دی) = ;8 375) كما - 39/ 19
4 tahun yang lalu