Thread
profile picture
Simo Hayha
Student XII IPA
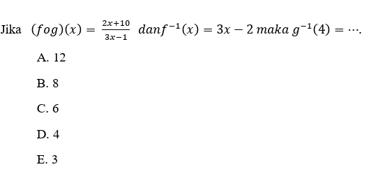
2x+10 Jika (fog)(x) = = danf-1(x) = 3x – 2 maka g-*(4) = = 3x-1 A. 12 B. 8 C. 6 D. 4 E. 3
4 tahun yang lalu
total answer
0
total comment
0
share

Jawaban (0)