Thread
profile picture
Virza Azzahra
Student XII IPS
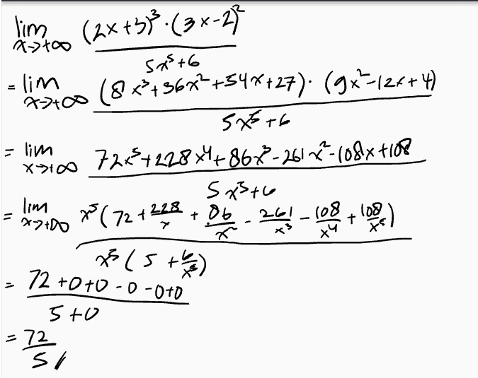
313 lim X→ +00 3 2 2x+3x3x-2 5 5x+6 Evaluasi limit berikut
4 tahun yang lalu
total answer
1
total comment
0
share

Jawaban (1)
0
profile picture
Naluna
Student XII IPA
lim (2x+53.(3x-27 スラれ 5x+6 - lim Am o (88+36x² +54*+27). (gx²12x+4) 5x5 +6 To 7281228*4 + 867-261 % -108xtio? Sx376 * (72 +228 + 86 261 2016-1 100 108 is lim *7no * (5 + / 72 +000-0-000 5t0 - 72 si
4 tahun yang lalu