Thread
profile picture
Default
Student XI IPA
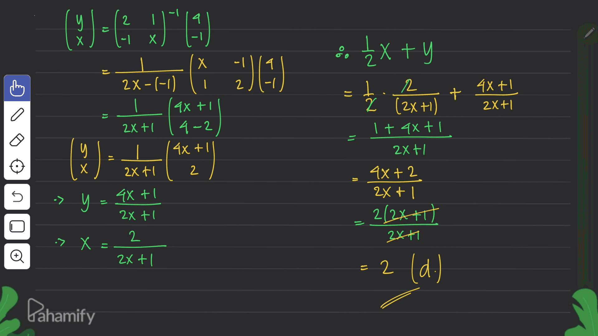
33. Jika Q) =(221 = 3)*(4Jdengan x + ž, maka nilai x +y=.. . { a. -4 b. -2 c. 0 d. 2 e. 4
4 tahun yang lalu
total answer
1
total comment
0
share
Terjawab

Jawaban (1)
0
profile picture
Putra Gema Nusa
Rockstar Teacher GURU SMA
2 X -1 x -1 8 2x + y X (") - -L07 ( (ax + 1 2X-(-0) 2 = ॥ 4X+1 2x+1 a 2x tl = 4X+1 5 Х ir 1 그 2 + Z (2x +1) Itaxt I 2xt I 4x+2 2xt I 2/2x+1) 2 3x+1 2xtl 2 s s 4XtI 2x tl = U 2 :> X : o 2x + 1 = 2 (d.) 1 2 Pahamify
4 tahun yang lalu
total comment
0
Balas
Terverifikasi