Thread
profile picture
Aldian R.A
Student X IPA
4. Himpunan penyelesaian (x + 6)*-3 = (x + 6)2x + 1 adalah .... a. {-7, -6, -5,-4} d. {-6, -5} b. {-7, -6, -5} {-5,-4} c. {-7, -6, -4} e. 
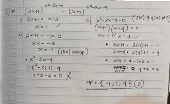
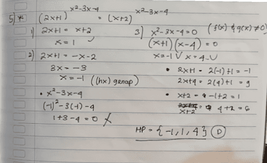
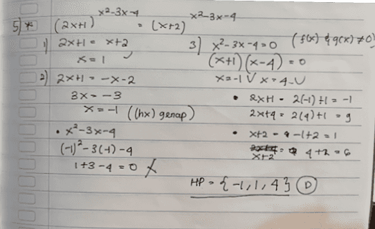
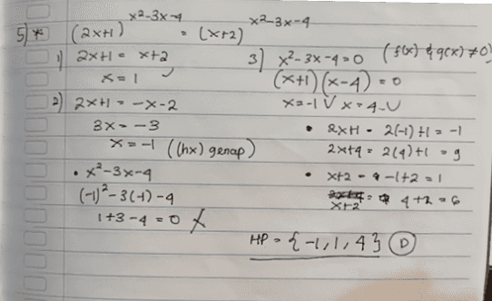
5. Himpunan penyelesaian dari persamaan (2x + 1)??-3x - 4 = (x + 2)x2-3x - 4 adalah .... {-4,-1,1} d. {-1, 1,4} b. {-4,-2, 1} e. {-1, 1,2} {-2, 1,4} a. c.
4. Himpunan penyelesaian (x + 6)*-3 = (x + 6)2x + 1 adalah .... a. {-7, -6, -5,-4} d. {-6, -5} b. {-7, -6, -5} {-5,-4} c. {-7, -6, -4} e. 
5. Himpunan penyelesaian dari persamaan (2x + 1)??-3x - 4 = (x + 2)x2-3x - 4 adalah .... {-4,-1,1} d. {-1, 1,4} b. {-4,-2, 1} e. {-1, 1,2} {-2, 1,4} a. c.
4 tahun yang lalu
total answer
4
total comment
0
share

Jawaban (4)
0
profile picture
Default
Student X IPA
No. Data: 2) X+6 (x+6)x=3; (x+6) 2X+1 0 0 x-3 2x+ 3) x+6= -1 [x = -4 x=-7 (46) & gcx) ho coma gajil decor x-3; -2-3 = -10 (genap). • 2x+1; 21-7)+1 = -13 (ganjil xo-7 (Tm) 4 xt6-o X=-6 (+(x) & g(x) 70) HP. 4-51-43 © -6-3 -9 (tm) X.-5 0 0 •x-3 
(x+2) x2-3x4 x2 3x-4 5* (2x+1) 1 2x+l • x+3 3) x2-3x-420 (f(x) & 90x) 70 X=1 (x+1)(x-4) = 0 12 2x+--x-2 X2-1 V x>4.U 3X-3 • &XH - 21-1) + = -1 *== ((hx) genap) 2x+4= 2(9)+1 og •x²-3x-4 Xt2 - 9-1+2 = 1 (-1)²-3(+)-9 4+26 1+3-4=0X HP ={-1,1143 & . X2
No. Data: 2) X+6 (x+6)x=3; (x+6) 2X+1 0 0 x-3 2x+ 3) x+6= -1 [x = -4 x=-7 (46) & gcx) ho coma gajil decor x-3; -2-3 = -10 (genap). • 2x+1; 21-7)+1 = -13 (ganjil xo-7 (Tm) 4 xt6-o X=-6 (+(x) & g(x) 70) HP. 4-51-43 © -6-3 -9 (tm) X.-5 0 0 •x-3 
(x+2) x2-3x4 x2 3x-4 5* (2x+1) 1 2x+l • x+3 3) x2-3x-420 (f(x) & 90x) 70 X=1 (x+1)(x-4) = 0 12 2x+--x-2 X2-1 V x>4.U 3X-3 • &XH - 21-1) + = -1 *== ((hx) genap) 2x+4= 2(9)+1 og •x²-3x-4 Xt2 - 9-1+2 = 1 (-1)²-3(+)-9 4+26 1+3-4=0X HP ={-1,1143 & . X2
4 tahun yang lalu

0
profile picture
Default
Student X IPA
No. Data: 2) X+6 (x+6)x=3; (x+6) 2X+1 0 0 x-3 2x+ 3) x+6= -1 [x = -4 x=-7 (46) & gcx) ho coma gajil decor x-3; -2-3 = -10 (genap). • 2x+1; 21-7)+1 = -13 (ganjil xo-7 (Tm) 4 xt6-o X=-6 (+(x) & g(x) 70) HP. 4-51-43 © -6-3 -9 (tm) X.-5 0 0 •x-3 
(x+2) x2-3x4 x2 3x-4 5* (2x+1) 1 2x+l • x+3 3) x2-3x-420 (f(x) & 90x) 70 X=1 (x+1)(x-4) = 0 12 2x+--x-2 X2-1 V x>4.U 3X-3 • &XH - 21-1) + = -1 *== ((hx) genap) 2x+4= 2(9)+1 og •x²-3x-4 Xt2 - 9-1+2 = 1 (-1)²-3(+)-9 4+26 1+3-4=0X HP ={-1,1143 & . X2
No. Data: 2) X+6 (x+6)x=3; (x+6) 2X+1 0 0 x-3 2x+ 3) x+6= -1 [x = -4 x=-7 (46) & gcx) ho coma gajil decor x-3; -2-3 = -10 (genap). • 2x+1; 21-7)+1 = -13 (ganjil xo-7 (Tm) 4 xt6-o X=-6 (+(x) & g(x) 70) HP. 4-51-43 © -6-3 -9 (tm) X.-5 0 0 •x-3 
(x+2) x2-3x4 x2 3x-4 5* (2x+1) 1 2x+l • x+3 3) x2-3x-420 (f(x) & 90x) 70 X=1 (x+1)(x-4) = 0 12 2x+--x-2 X2-1 V x>4.U 3X-3 • &XH - 21-1) + = -1 *== ((hx) genap) 2x+4= 2(9)+1 og •x²-3x-4 Xt2 - 9-1+2 = 1 (-1)²-3(+)-9 4+26 1+3-4=0X HP ={-1,1143 & . X2
4 tahun yang lalu

0
profile picture
Default
Student X IPA
No. Data: 2) X+6 (x+6)x=3; (x+6) 2X+1 0 0 x-3 2x+ 3) x+6= -1 [x = -4 x=-7 (46) & gcx) ho coma gajil decor x-3; -2-3 = -10 (genap). • 2x+1; 21-7)+1 = -13 (ganjil xo-7 (Tm) 4 xt6-o X=-6 (+(x) & g(x) 70) HP. 4-51-43 © -6-3 -9 (tm) X.-5 0 0 •x-3 
(x+2) x2-3x4 x2 3x-4 5* (2x+1) 1 2x+l • x+3 3) x2-3x-420 (f(x) & 90x) 70 X=1 (x+1)(x-4) = 0 12 2x+--x-2 X2-1 V x>4.U 3X-3 • &XH - 21-1) + = -1 *== ((hx) genap) 2x+4= 2(9)+1 og •x²-3x-4 Xt2 - 9-1+2 = 1 (-1)²-3(+)-9 4+26 1+3-4=0X HP ={-1,1143 & . X2
No. Data: 2) X+6 (x+6)x=3; (x+6) 2X+1 0 0 x-3 2x+ 3) x+6= -1 [x = -4 x=-7 (46) & gcx) ho coma gajil decor x-3; -2-3 = -10 (genap). • 2x+1; 21-7)+1 = -13 (ganjil xo-7 (Tm) 4 xt6-o X=-6 (+(x) & g(x) 70) HP. 4-51-43 © -6-3 -9 (tm) X.-5 0 0 •x-3 
(x+2) x2-3x4 x2 3x-4 5* (2x+1) 1 2x+l • x+3 3) x2-3x-420 (f(x) & 90x) 70 X=1 (x+1)(x-4) = 0 12 2x+--x-2 X2-1 V x>4.U 3X-3 • &XH - 21-1) + = -1 *== ((hx) genap) 2x+4= 2(9)+1 og •x²-3x-4 Xt2 - 9-1+2 = 1 (-1)²-3(+)-9 4+26 1+3-4=0X HP ={-1,1143 & . X2
4 tahun yang lalu

0
profile picture
Default
Student X IPA
No. Data: 2) X+6 (x+6)x=3; (x+6) 2X+1 0 0 x-3 2x+ 3) x+6= -1 [x = -4 x=-7 (46) & gcx) ho coma gajil decor x-3; -2-3 = -10 (genap). • 2x+1; 21-7)+1 = -13 (ganjil xo-7 (Tm) 4 xt6-o X=-6 (+(x) & g(x) 70) HP. 4-51-43 © -6-3 -9 (tm) X.-5 0 0 •x-3 
(x+2) x2-3x4 x2 3x-4 5* (2x+1) 1 2x+l • x+3 3) x2-3x-420 (f(x) & 90x) 70 X=1 (x+1)(x-4) = 0 12 2x+--x-2 X2-1 V x>4.U 3X-3 • &XH - 21-1) + = -1 *== ((hx) genap) 2x+4= 2(9)+1 og •x²-3x-4 Xt2 - 9-1+2 = 1 (-1)²-3(+)-9 4+26 1+3-4=0X HP ={-1,1143 & . X2
No. Data: 2) X+6 (x+6)x=3; (x+6) 2X+1 0 0 x-3 2x+ 3) x+6= -1 [x = -4 x=-7 (46) & gcx) ho coma gajil decor x-3; -2-3 = -10 (genap). • 2x+1; 21-7)+1 = -13 (ganjil xo-7 (Tm) 4 xt6-o X=-6 (+(x) & g(x) 70) HP. 4-51-43 © -6-3 -9 (tm) X.-5 0 0 •x-3 
(x+2) x2-3x4 x2 3x-4 5* (2x+1) 1 2x+l • x+3 3) x2-3x-420 (f(x) & 90x) 70 X=1 (x+1)(x-4) = 0 12 2x+--x-2 X2-1 V x>4.U 3X-3 • &XH - 21-1) + = -1 *== ((hx) genap) 2x+4= 2(9)+1 og •x²-3x-4 Xt2 - 9-1+2 = 1 (-1)²-3(+)-9 4+26 1+3-4=0X HP ={-1,1143 & . X2
4 tahun yang lalu