Thread
profile picture
Ayudya
Student GAP YEAR
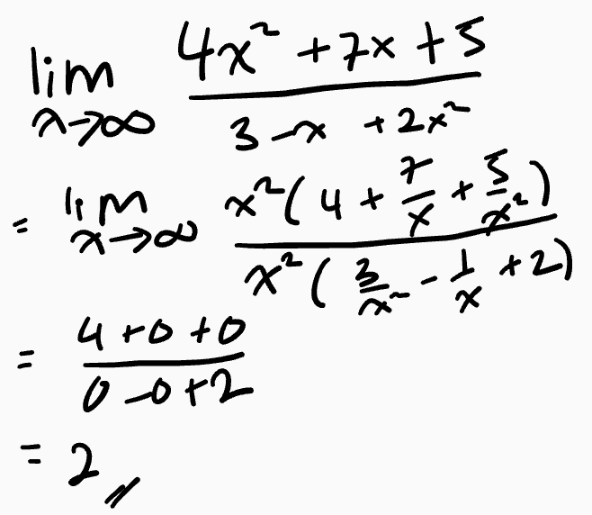
4x2 + 7x + 5 15. Nilai dari lim adalah : 3-x + 2x2 X->oo A. D. 4 3 B. 4 E. O C. 2
4 tahun yang lalu
total answer
1
total comment
0
share
Terjawab

Jawaban (1)
0
profile picture
Naluna
Student XII IPA
3x + 2x² lim 4x² + x 75 ∞ *²/4 + 1/4 + 2 " +2) 3 ) lem 200 x² ( 3 대 ( X 4 roto 0-012 2
4 tahun yang lalu
total comment
0
Balas
Jawaban Terpilih