Thread
profile picture
Ervah
Student XII IPS
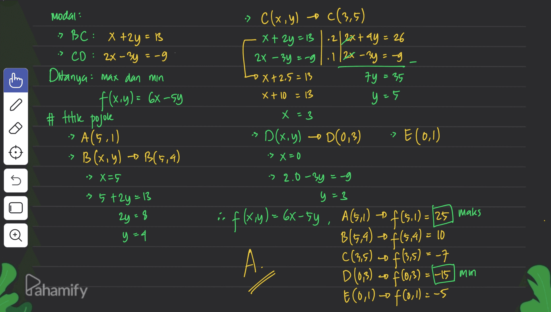
5. Perhatikan gambar berikut. AY С B D E A(5, 1) →X llustrator: Zain Mustaghfir Daerah ABCDE merupakan daerah penyelesaian suatu sistem pertidaksamaan linear. Persamaan garis yang melalui BC adalah x + 2y = 13 dan persamaan garis yang melalui CD adalah 2x – 3y = -9. Nilai maksimum dan nilai minimum dari fungsi tujuan f(x, y) = 6x - 5y berturut-turut.... 25 dan -15 d. 10 dan - 5 b. 25 dan - 7 -7 dan -15 10 dan -15 a. e. C.
4 tahun yang lalu
total answer
1
total comment
0
share
Terjawab

Jawaban (1)
0
profile picture
Putra Gema Nusa
Rockstar Teacher GURU SMA
Modal: - -> C(x,y) oc(3,5) C( X+ 2y=13 | .2 2x+4y= 26 ,= 2X - 3y =-g| .1 |2x - 3y =-g Lox+2.5=13 74 = 35 X + 10 13 y=5 X =3 - P(x.y) –0D(0,3) -> E(0,1) > x=0 » :X :> BC: x +2y = B + 3 -> CD: 2x - 3y = -9 Ditanya: max dan min f(x,y) = 6x-sy # titik pojole -> A(5.1) -> B(xy B(x, y) B(5,4) •> X=5 is 5+24=13 a # 5 > 2.0-3y=-9 y=3 2y=8 I = y =q = in f(x,y) = 6X-5y, A(51) + f (510) = (25) maks yA(- - = B B(5,4) f(5,4 ) = 10 C(3,5) 40 f/3,5) = -7 D (0,3) to f (0,3) = -15 mm E € (0,1) -- f(0,1)=-5 A C) = Pahamify :
4 tahun yang lalu
total comment
0
Balas
Terverifikasi