Thread
profile picture
Default
Student X IPA
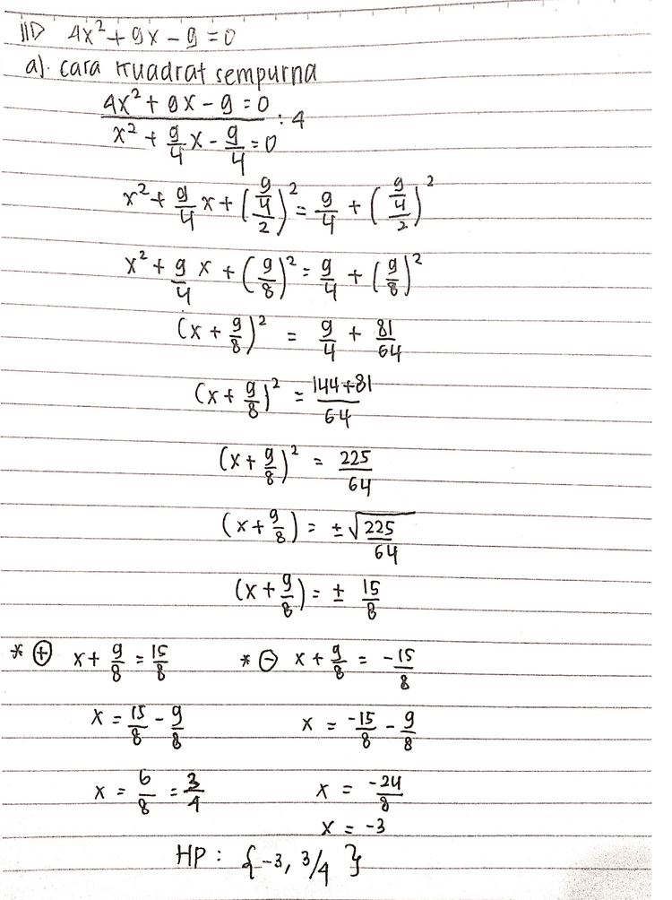
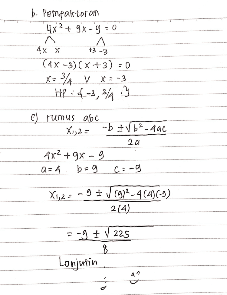
himpunan Penyelesaian dari 4x² +9x g=0 dengan cara Pemfaktoran 2.kuadrat sempurna 1. 3. rumus abc
4 tahun yang lalu
total answer
1
total comment
0
share

Jawaban (1)
0
profile picture
aqim
Student XII IPA
+ 3-3 b. Pemfaktor an 4x2 + gx-9 = 0 ^ A 4x x (4X-3)(x+3) = 0 X = 34 V X-3 HP : -3,243 e) rumus abc X1, 2 = - b ± √6²-4ac 20 4x²+gX-9 a= b=9 Co-g - X1,2 = g#119)2-464)(-9) 2(4) =-9 V 225 8 Lanjutin 41 
2 ID Ax+ GX - C = 0 al. cara truadrat sempurna AX + X - 0 0 옵 O 내 9,2 적의 Xt 9 (고 4 2 전 X - 9 4 나 2 x + 9 x + () 2 2 g g + 니 2 - 태 64 (x + ) - 목 + 1 (x + D x g (x+2) * 20 (x+2) - 물 들 용 - x - - x, HP : 4-aA * ④ x+ 8 * Xt 용 % - (S 8 159 Xs 용. 9 8 8 3 4 - 24 K- 동 X-3
+ 3-3 b. Pemfaktor an 4x2 + gx-9 = 0 ^ A 4x x (4X-3)(x+3) = 0 X = 34 V X-3 HP : -3,243 e) rumus abc X1, 2 = - b ± √6²-4ac 20 4x²+gX-9 a= b=9 Co-g - X1,2 = g#119)2-464)(-9) 2(4) =-9 V 225 8 Lanjutin 41 
2 ID Ax+ GX - C = 0 al. cara truadrat sempurna AX + X - 0 0 옵 O 내 9,2 적의 Xt 9 (고 4 2 전 X - 9 4 나 2 x + 9 x + () 2 2 g g + 니 2 - 태 64 (x + ) - 목 + 1 (x + D x g (x+2) * 20 (x+2) - 물 들 용 - x - - x, HP : 4-aA * ④ x+ 8 * Xt 용 % - (S 8 159 Xs 용. 9 8 8 3 4 - 24 K- 동 X-3
4 tahun yang lalu