Thread
profile picture
Wildan Charindra Wibawa
Student XII IPA
4 tahun yang lalu
total answer
2
total comment
0
share
Terjawab

Jawaban (2)
0
profile picture
Putra Gema Nusa
Rockstar Teacher GURU SMA
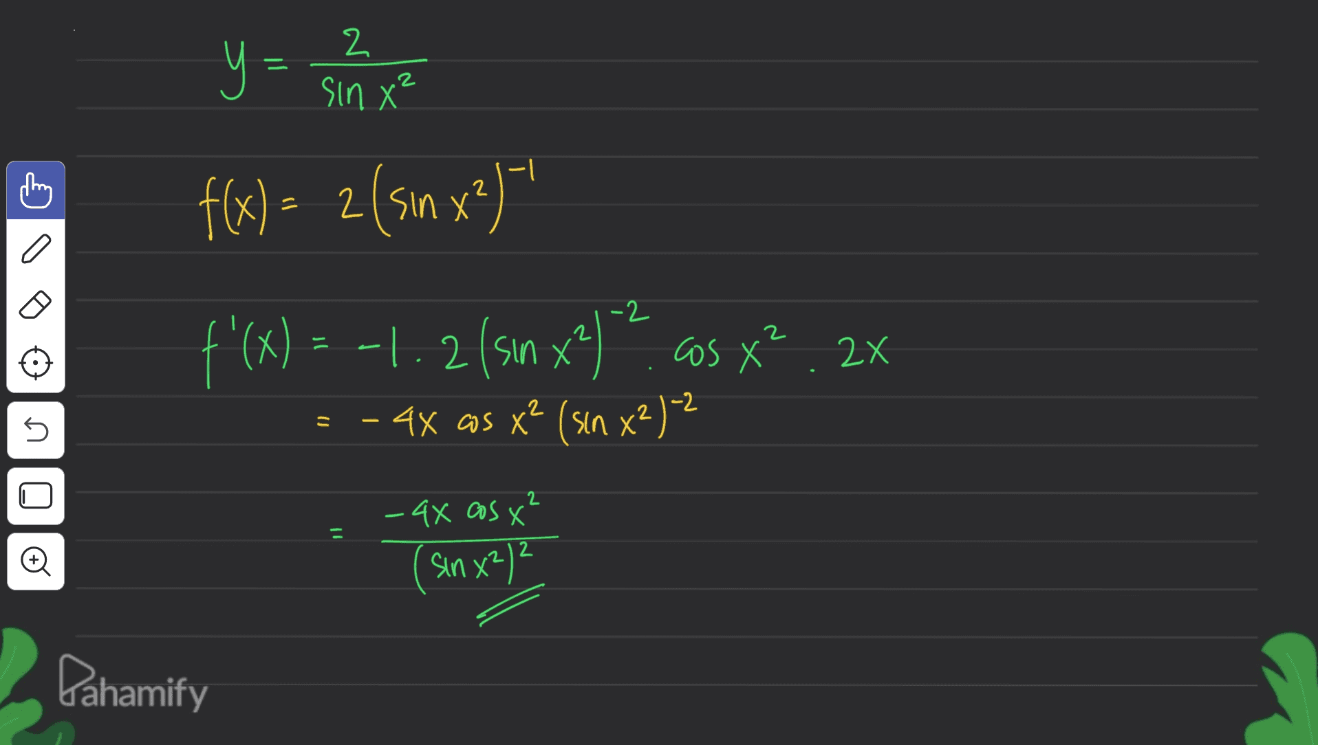
y = 2 sin X² f(x) = 2 (sin x?)-' f'(x) = -1.2 (sın xº)*?. cs X?. 2x 4x cs x² (sin x?)? n - 4x cos x (sin x?)? Pahamify
4 tahun yang lalu
total comment
0
Balas
Terverifikasi

0
profile picture
Darma
Student UMUM
4 tahun yang lalu