Thread
profile picture
Default
Student XI IPA
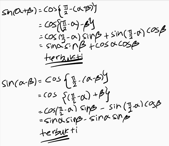
sin (a +B) = sin a cos B + cos a sin B sin (a-B) = sin a cos B - cos a sin
4 tahun yang lalu
total answer
1
total comment
0
share
Terjawab

Jawaban (1)
0
profile picture
Naluna
Student XII IPA
14x24 =sinasing- sina sing 40)(*) is dis (9 (-) +89 S0) - (49) 092-()uts माधान sinasing tcosa cose - - y) (0)Mist415 (v-) หรี่-9-) (49)-399-(วus
4 tahun yang lalu
total comment
7
Balas
Jawaban Terpilih

Tampilkan semua komentar