Thread
profile picture
Default
Student XII IPA
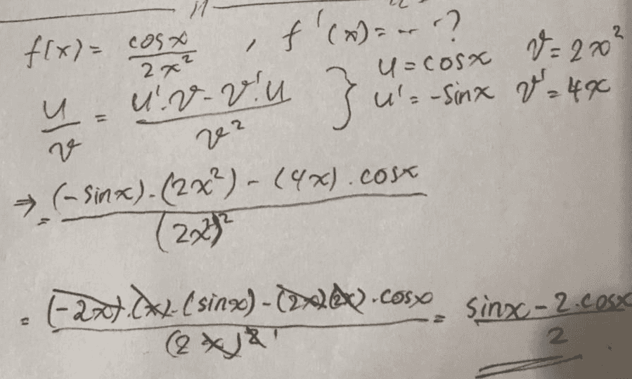
COS X Turunan pertama dari fungsi f(x) = 2x? adalah ....
4 tahun yang lalu
total answer
1
total comment
0
share

Jawaban (1)
0
profile picture
VoltaatloV
Student GAP YEAR
= 2 x² Y 2 f(x)- cosx f = f'(x)= err? u=cost V = 200² u.v-vu 3 u'a-sinx V=400 (- sinx)-(2x) - (4x).COS (2277 zz v ng -224.cz (singo) - (24.ler.cosmo, Sinx - 2.cos (& & 2
4 tahun yang lalu