Thread
profile picture
Azizah Dewi Novitaningsih
Student XII IPA
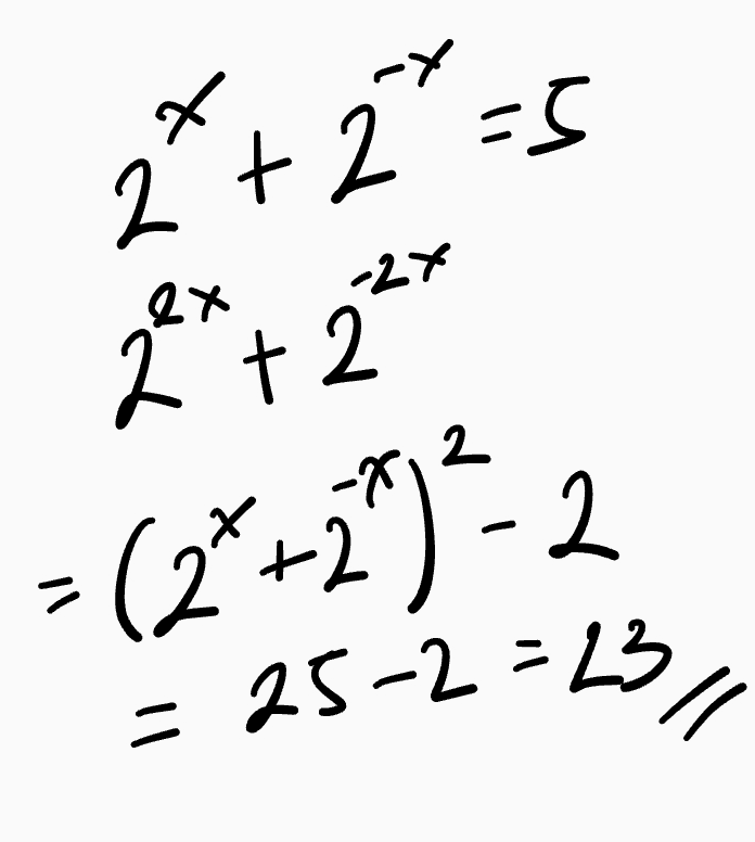
Diketahui 2^(x) + 2^(-x) = 5. Nilai 2^(2x) + 2^(-2x) = .... *
4 tahun yang lalu
total answer
2
total comment
0
share
Terjawab

Jawaban (2)
0
profile picture
Putra Gema Nusa
Rockstar Teacher GURU SMA
2x + 2*as 22% + 2*** - (2*3* + (2**) - (2* + 2**)* – 2. 2* . 2* 5²-2.1 U 5 25 -2 = 23 o Dahamify
4 tahun yang lalu
total comment
1
Balas
Terverifikasi

0
profile picture
Naluna
Student XII IPA
7 * ج= 2 + 2 27 ax 1 1 2 -812 2 (2) - 2 -2 25-2=23 - //
4 tahun yang lalu