Thread
profile picture
Febri Hariadi
Student KULIAH
5 tahun yang lalu
total answer
3
total comment
0
share
Terjawab

Jawaban (3)
0
profile picture
Muhammad Riyan Wildani
Student GAP YEAR
5 tahun yang lalu

0
profile picture
Darma
Student UMUM
Siapkan BC = OČ- OB BC 13 5 р 8 BC 2 (p - 6) Karena segaris, AB = m BC 8 1 m 2 2 (p-6)
5 tahun yang lalu

0
profile picture
Angela Gracelly
Student XII IPA
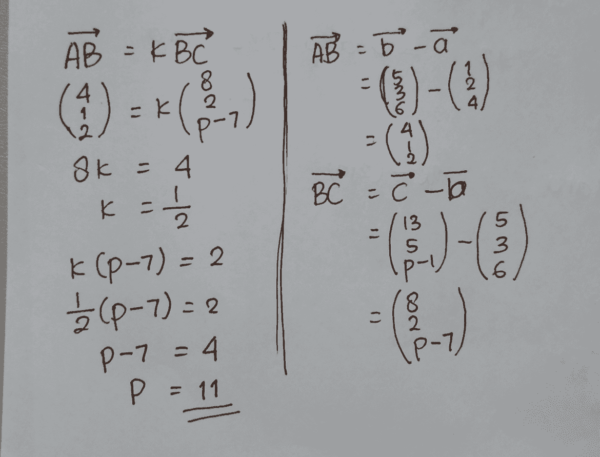
AB = KBC 8 4 - 2 =k AB =- )-( -() BC =čl 2. Ok - 4 ka 2 13 s - 5 3 6 k (P-7)=2 Ś (P-7) = 2 P-7 = 4 4 ( ) 2 P = 11
5 tahun yang lalu
total comment
2
Balas
Jawaban Terpilih

Tampilkan semua komentar