Thread
profile picture
Default
Student KULIAH
4 tahun yang lalu
total answer
1
total comment
0
share
Terjawab

Jawaban (1)
0
profile picture
Muhammad Fauzan Isnanda
Rockstar Teacher GURU SMA
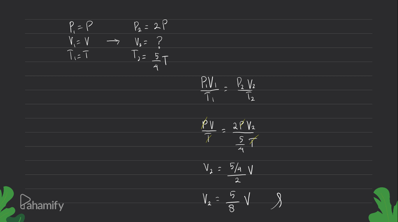
P₂ = 2 P P. =P ? V=V TET V,= ? To= 5T 4 시 Pin B PVi T P₂ V2 Tz PV 2 PV2 A ST 4 시 V₂ = 5/4 V 2 5 Pahamify V2 = 5 V V s
4 tahun yang lalu
total comment
0
Balas
Terverifikasi