Thread
profile picture
Lic mipi
Student XII IPS
4 tahun yang lalu
total answer
2
total comment
0
share
Terjawab

Jawaban (2)
0
profile picture
Muhammad Fauzan Isnanda
Rockstar Teacher GURU SMA
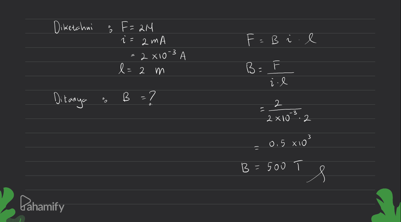
Diketahui ; F= 2M î = am A - 2 x103 A F =B i . l l= 2 m B: F i . l Ditanya B = ? 2 2 - -3 2x10 2 3 0,5 xio 1) B=500 s Pahamify
4 tahun yang lalu
total comment
1
Balas
Terverifikasi

0
profile picture
Darma
Student UMUM
F = BIL B = F = (IL) B = 12 = (0,002 x 2) B = 12:0.004 B = 3000 T
4 tahun yang lalu