Thread
profile picture
Dieni Aulia
Student XII IPA
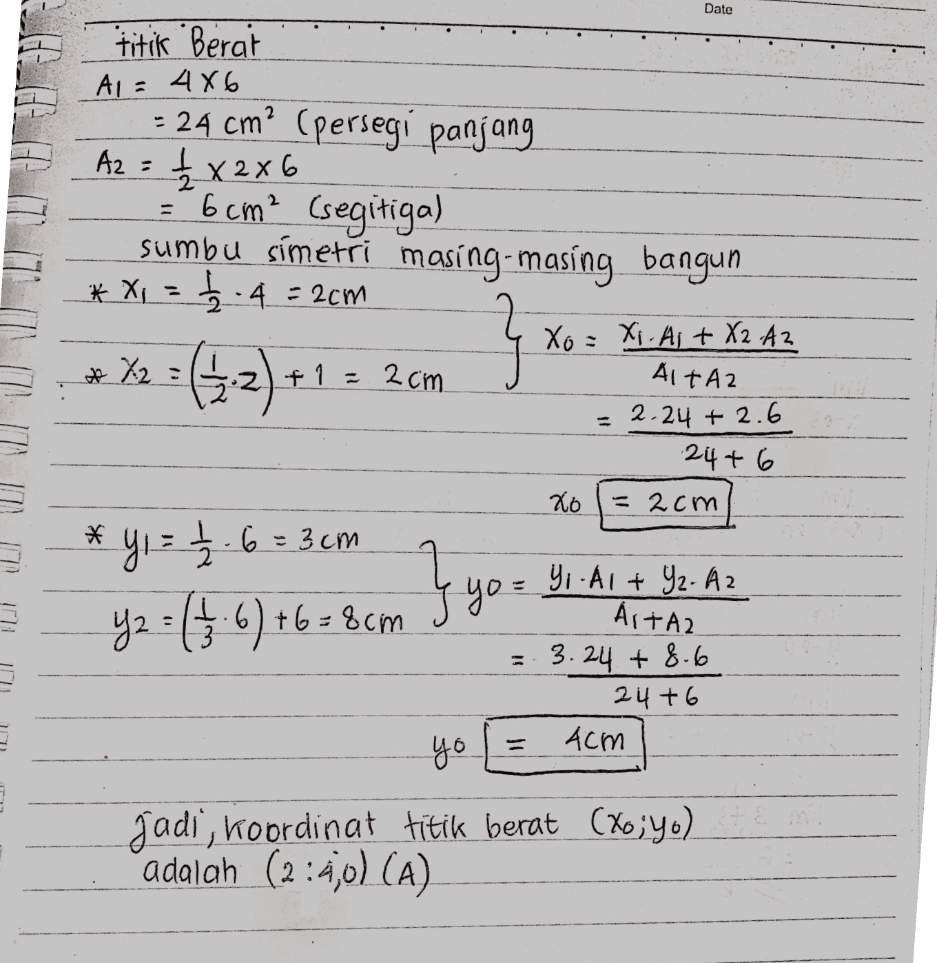
Perhatikan gambar bidang homogen berikut! Yiem) 12 X (cm) 2 3 W 1 4 Koordinat titik berat benda bidang (simetris) terhadap titik O adalah cm. (2:40) d. (2 : 3,0) b. (2 : 3,6) e. (2:2,8) (2:32) a. C.
5 tahun yang lalu
total answer
1
total comment
0
share
Terjawab

Jawaban (1)
0
profile picture
aqim
Student XII IPA
Date titik Berat A1 = 486 = 24 cm? (persegi panjang Az = 1 x2x6 6 cm? (segitiga) sumbu simetri masing-masing bangun * Xi = 5:4 = 2cm } Xo=xi. Al + X2 .Az *%2 +1 = 2cm ALTAZ 2.24 + 2.6 24+ 6 Ko = 2 cm * * Y1 = 1 / 2 6 = 3 cm y2 = (13.6) +6=8cm 1 } yo= Y, A1+ Yz. Az ÁLTAZ 3.24 +8.6 24+6 4cm yo Jadi, koordinat titik berat (Xo;yo) adalah (2:4,0) (A)
5 tahun yang lalu
total comment
0
Balas
Terverifikasi