Thread
profile picture
Khoirul Irfan
Student XII IPA
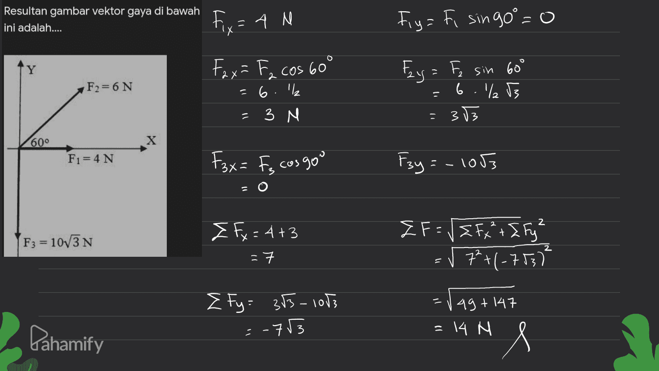
Resultan gambar vektor gaya di bawah ini adalah.... Y F2=6N 600 X F1=4N F3 = 103N
4 tahun yang lalu
total answer
2
total comment
0
share
Terjawab

Jawaban (2)
0
profile picture
Muhammad Fauzan Isnanda
Rockstar Teacher GURU SMA
Resultan gambar vektor gaya di bawah ini adalah.... Fix=AN Fly-Fi singo°=0 Fay = Fe sin 600 F2=6N Fax = F₂ cos 60° 6.'l 3 N = 6./13 11 303 600 X F1=4N F3x = Fe cos gou F3y = -1053 2 F3 = 1073N I Fx = 4+3 = Z F = √ { F x² + I Fy =√ 7²+(-753) =rag +147 - 14 N s Z Fy: 355-1053 Pahamify =-7√3
4 tahun yang lalu

0
profile picture
Muhammad Fauzan Isnanda
Rockstar Teacher GURU SMA
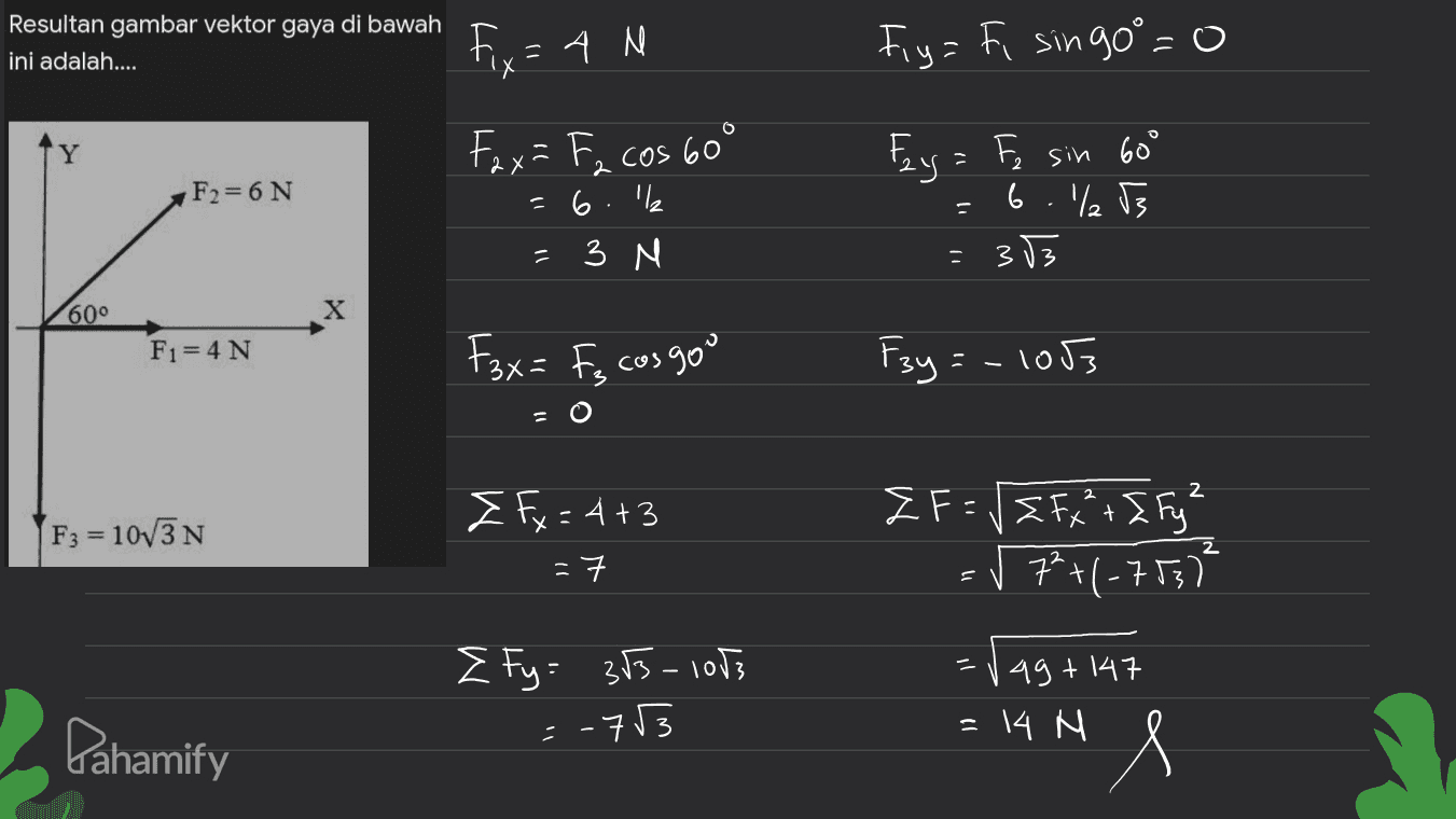
Resultan gambar vektor gaya di bawah ini adalah.... Fix=AN Fly-Fi singo°=0 Fay = Fe sin 600 F2=6N Fax = F₂ cos 60° 6.'l 3 N = 6./13 11 303 600 X F1=4N F3x = Fe cos gou F3y = -1053 2 F3 = 1073N I Fx = 4+3 = Z F = √ { F x² + I Fy =√ 7²+(-753) =rag +147 - 14 N s Z Fy: 355-1053 Pahamify =-7√3
4 tahun yang lalu
total comment
0
Balas
Terverifikasi