Thread
profile picture
Aulia Herlina Putri
Student XII IPA
lim, x - 3 (x-3) cos Cax-6) sin (ax-6)
4 tahun yang lalu
total answer
3
total comment
0
share
Terjawab

Jawaban (3)
0
profile picture
Naluna
Student XII IPA
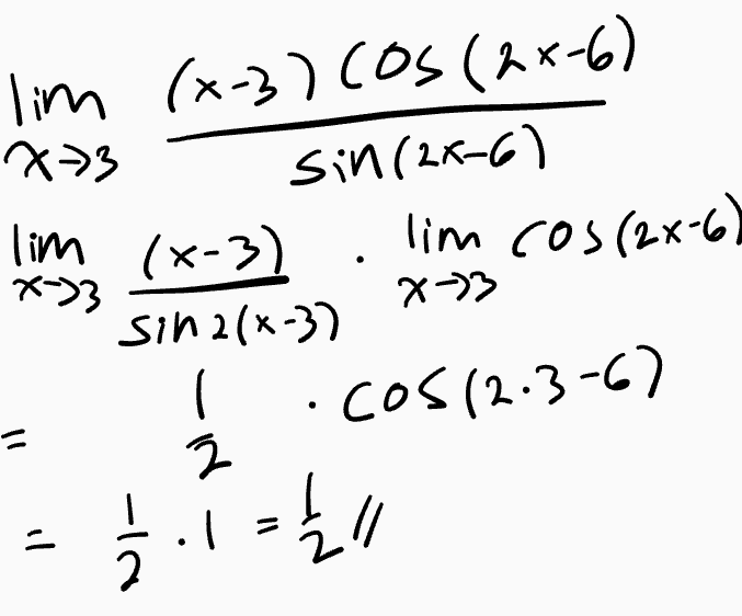
SEX lim (x-3) х {(-X 8-3 lim (x-3) Cos(2x-6) sin (26-6) lim cos (2x-6) sin 2(x-3) cos(2.3-6) 3.1=1/11 . 10 2 크 - 2
4 tahun yang lalu
total comment
0
Balas
Jawaban Terpilih

0
profile picture
Steven Liwindra
Student XII IPS
Y-3 (21.6 م، (3-7 . ما _ (26)؟ را - 2ر2 - ).(3-7) 4 ( - ) cos - 2 كم2 - cos (2.3-6) +(3-3). (-25 (23-6)) (:- 2.3) دما 2 2 - 6,5
4 tahun yang lalu

0
profile picture
Peebs
Student GAP YEAR
thumbnail
4 tahun yang lalu