Thread
profile picture
Default
Student XI SMK
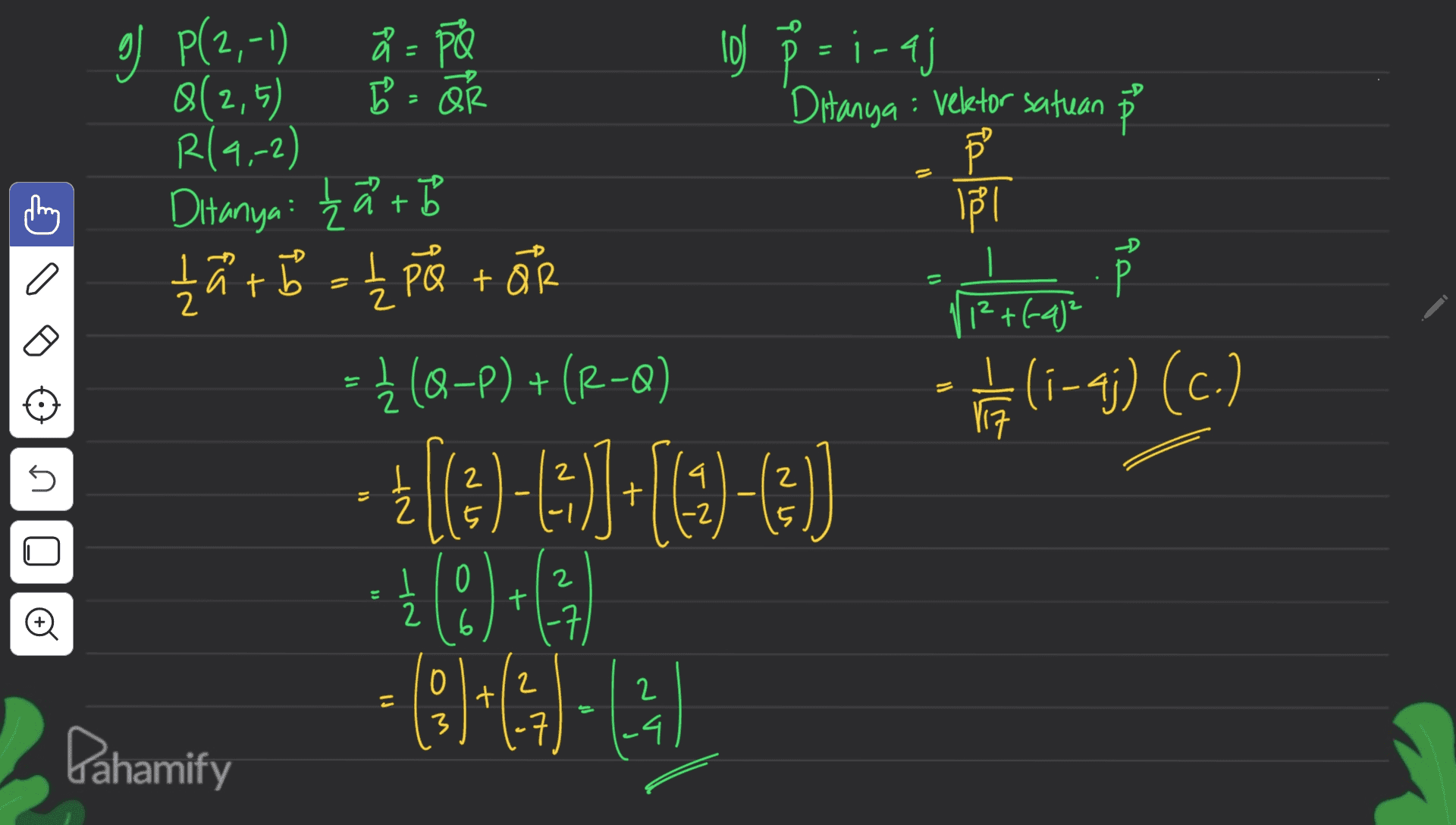
c. O a. 17 d. -2 b. 7 e. -4 c. 5 9. Diketahui koordinat titik P(2,-1), d. -7 e. -17 Q(2,5), dan R(4,-2). Jika a = PQ dan 13. Diketahui titik A,B, dan C segaris 10 b = QR, hasil dari a + b adalah .... dengan A (-2, 13) dan B (6, 1). Jika AC: CB = 1:3, koordinat titik C a. adalah .... b C No ano a. (0,10) b. (0,7) c. (4,4) d. (2,7) e. (2,3) d. e. 14. Hasil kali scalar antara vector 10. Vektor satuan dari p = 1 - 4j adalah a = dan b = = (3) adalah 12, - maka nilain adalah .... a. 117(1-4) a. -6 b. -3 b. (i-4) c. 3 d. 6 C. (1-4) e. 9 d. 30-40 -(i-4) 15. Jika vector a = i + 2 + e 17 2.52(1-4) b = 5i + 4j-k dan c = 4i-j + k, 11. Proyeksi orthogonal Ve b = (2)pada vector b = a adalah .... maka vector a + 2b-3 c adalah .... a. -i + 10j +2k b. -21-13j + 2k c. -21 + 13 -2k d. i + 133 + 2k e. -i + 133 + 2k a. i-2j b. -i +2j c. 21 - j d. -2i+2j e. -i - 12. Jika koordinat titik A (4, -2), B(1,3) 16. Diketahui lal vz. lol - vo, dan 2 = a. b =3 maka besar sudut antara vector a dan b adalah .... dan C(-3, 2). Hasil dari AB.BC a. 30° adalah .... 
vector b jika l'al - 5 dan To = 2 b. 45° c. 120° d. 135° e. 150° dan sudut di antara vector a a. 17. Agar panjang proyeksi vector a = 1 1 dan b = 11 sama dengan 2, 122-11 maka nilai x adalah .... 6)dlar to - 1 dan vector b 30° adalah .... 5.12 b. 5/3 -5/2 d. 2 с 3 a 4 e. 2.2 b B. ESSAY A 5 1. Perhatikan matriks berikut ini a. ( 23) C. LOs+ b (a 3) d. NO e. e. /1 2 2 3 c. 14 4 24 17 8 3 4 18. Besar sudut yang dibentuk vector tentukan: a. Tentukan jenis-jenis matriks a = 2i -4j -2k dan b = -1 -2 -2k di atas adalah .... a. 30° b. 45° C. 60° d. 90° e. 100° 19. Vektor satuan dari a = 21 + 2+ k adalah .... b. Banyak baris dan kolom (ordo) c. Untuk soal 1. C) Elemen pada baris ke-2 kolom ke-3 (a23) dan a 33, a 24 2. Tentukan nilai determinan 11 0 21 matriks dari-3 4 6! 1-1 -2 3 3. Pada suatu hari bu Karin seorang pedagang gorengan menitipkan dagangannya ke toko-toko kue. Berikut tabel banyaknya gorengan yang dititipkan setiap harinya 1 a. Főrzi + + 2) + k) b. (-21 + 2+ k) C. Tec 3121 + 2] + k) d. (21-23 + k) tahu 1 х pisang goreng bakwan e. (-21 + 2j-) goreng 20. Hasil kali antara vektor a dan
c. O a. 17 d. -2 b. 7 e. -4 c. 5 9. Diketahui koordinat titik P(2,-1), d. -7 e. -17 Q(2,5), dan R(4,-2). Jika a = PQ dan 13. Diketahui titik A,B, dan C segaris 10 b = QR, hasil dari a + b adalah .... dengan A (-2, 13) dan B (6, 1). Jika AC: CB = 1:3, koordinat titik C a. adalah .... b C No ano a. (0,10) b. (0,7) c. (4,4) d. (2,7) e. (2,3) d. e. 14. Hasil kali scalar antara vector 10. Vektor satuan dari p = 1 - 4j adalah a = dan b = = (3) adalah 12, - maka nilain adalah .... a. 117(1-4) a. -6 b. -3 b. (i-4) c. 3 d. 6 C. (1-4) e. 9 d. 30-40 -(i-4) 15. Jika vector a = i + 2 + e 17 2.52(1-4) b = 5i + 4j-k dan c = 4i-j + k, 11. Proyeksi orthogonal Ve b = (2)pada vector b = a adalah .... maka vector a + 2b-3 c adalah .... a. -i + 10j +2k b. -21-13j + 2k c. -21 + 13 -2k d. i + 133 + 2k e. -i + 133 + 2k a. i-2j b. -i +2j c. 21 - j d. -2i+2j e. -i - 12. Jika koordinat titik A (4, -2), B(1,3) 16. Diketahui lal vz. lol - vo, dan 2 = a. b =3 maka besar sudut antara vector a dan b adalah .... dan C(-3, 2). Hasil dari AB.BC a. 30° adalah .... 
vector b jika l'al - 5 dan To = 2 b. 45° c. 120° d. 135° e. 150° dan sudut di antara vector a a. 17. Agar panjang proyeksi vector a = 1 1 dan b = 11 sama dengan 2, 122-11 maka nilai x adalah .... 6)dlar to - 1 dan vector b 30° adalah .... 5.12 b. 5/3 -5/2 d. 2 с 3 a 4 e. 2.2 b B. ESSAY A 5 1. Perhatikan matriks berikut ini a. ( 23) C. LOs+ b (a 3) d. NO e. e. /1 2 2 3 c. 14 4 24 17 8 3 4 18. Besar sudut yang dibentuk vector tentukan: a. Tentukan jenis-jenis matriks a = 2i -4j -2k dan b = -1 -2 -2k di atas adalah .... a. 30° b. 45° C. 60° d. 90° e. 100° 19. Vektor satuan dari a = 21 + 2+ k adalah .... b. Banyak baris dan kolom (ordo) c. Untuk soal 1. C) Elemen pada baris ke-2 kolom ke-3 (a23) dan a 33, a 24 2. Tentukan nilai determinan 11 0 21 matriks dari-3 4 6! 1-1 -2 3 3. Pada suatu hari bu Karin seorang pedagang gorengan menitipkan dagangannya ke toko-toko kue. Berikut tabel banyaknya gorengan yang dititipkan setiap harinya 1 a. Főrzi + + 2) + k) b. (-21 + 2+ k) C. Tec 3121 + 2] + k) d. (21-23 + k) tahu 1 х pisang goreng bakwan e. (-21 + 2j-) goreng 20. Hasil kali antara vektor a dan
4 tahun yang lalu
total answer
1
total comment
0
share
Terjawab

Jawaban (1)
0
profile picture
Putra Gema Nusa
Rockstar Teacher GURU SMA
og P(2,-1) - ♡ = ar los 8 = i-aj Ditanya : Veletor satuan p at å =P 0(2,5) R(9,-2) Ditanya hã + b ha a to o į pol tar Ź s}(@-P) + (R-8) 17 -D PA a at = = 2 12+(-4)² = 2 :(-aj) (c.) i- 2 2 4. 2 ni I 2 + - *[CE)-(-))-[(2)-(3) +8)+(63 ) 2 t Đ 2 6 0 2 + 2 3 7 -4 Pahamify
4 tahun yang lalu
total comment
0
Balas
Terverifikasi