Thread
profile picture
Bimbi pramudya
Student GAP YEAR
X X + 2 3 3 X-1 3* - 3*
4 tahun yang lalu
total answer
3
total comment
0
share
Terjawab

Jawaban (3)
0
profile picture
aqim
Student XII IPA
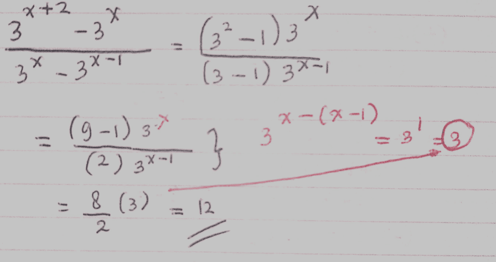
X X 3 X+2 x x -3 3- 3-? (3--1) (3-1) 3*-| 3. (-1) (2) 3X-1 x-(x -1) 3 8 (3) 12 2.
4 tahun yang lalu
total comment
0
Balas
Jawaban Terpilih

0
profile picture
Febri Hariadi
Student KULIAH
3x+2_3x ا-2 11 7 * (32-1) (13) 9-1 (9-0) x2 را و - 1 : % 3 (((
4 tahun yang lalu

0
profile picture
Naluna
Student XII IPA
ما روا -3 3 لی ماه را " - 3 می | دواس 12 3 (1)
4 tahun yang lalu