Thread
profile picture
lewinsky
Student KULIAH
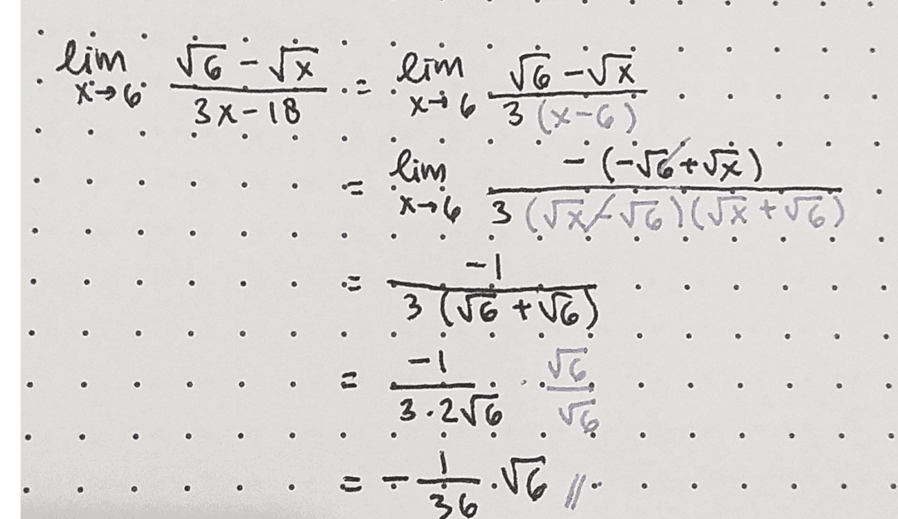
x →6 3x - 18 10. Hasil lim Vo - vx adalah .... A. V B. 116 C. -216 D.VE E. -38V6
5 tahun yang lalu
total answer
1
total comment
0
share
Terjawab

Jawaban (1)
0
profile picture
mehe
Student KULIAH
thumbnail
5 tahun yang lalu
total comment
0
Balas
Jawaban Terpilih